
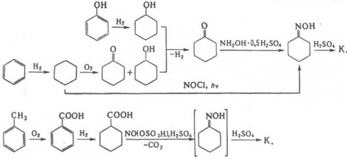
Êàïðîëàêòàì ïðåäñòàâëÿåò ñîáîé Áåëûå êðèñòàëëû, õîðîøî ðàñòâîðèìûå â âîäå, ñïèðòå, ýôèðå, áåíçîëå. Ïðè íàãðåâàíèè â ïðèñóòñòâèè íåáîëüøèõ êîëè÷åñòâ âîäû, ñïèðòà, àìèíîâ, îðãàíè÷åñêèõ êèñëîò è íåêîòîðûõ äðóãèõ ñîåäèíåíèé êàïðîëàêòàì ïîëèìåðèçóåòñÿ ñ îáðàçîâàíèåì ïîëèàìèäíîé ñìîëû, èç êîòîðîé ïîëó÷àþò âîëîêíî êàïðîí. Âàæíîå ñâîéñòâî Êàïðîëàêòàì - ñïîñîáíîñòü ïîëèìåðèçîâàòüñÿ ñ îáðàçîâàíèåì öåííîãî ïîëèìåðà - ïîëèêàïðîàìèäà Ôèçè÷åñêèå ñâîéñòâà êàïðîëàêòàìà | Ñèñòåìàòè÷åñêîå íàèìåíîâàíèå | àçåïàí-2-îí | | Òðàäèöèîííîå íàçâàíèå | êàïðîëàêòàì | | Îïèñàíèå | Áåëîå, ãèãðîñêîïè÷íîå, êðèñòàëëè÷åñêîå òâåðäîå âåùåñòâî | | Ìîëåêóëÿðíàÿ ôîðìóëà | C6H11NO | | Ìîëÿðíàÿ ìàññà | 113.16 ã/ìîëü | | Ïëîòíîñòü (ïðè 70 °Ñ) | 1,01 ã/ñì3 | | Òî÷êà êèïåíèÿ | 136-138 °C / 10 ìì Hg | | Òî÷êà ïëàâëåíèÿ | 69-70 oC | | Êîýôôèöèåíò ïåðåâîäà | 1ppm=4.6 ìã/ì3 @ 25 oC | Èñòî÷íèê: http://www.yarnsandfibers.com/ Îñíîâíîå ïðîìûøëåííîå ïðèìåíåíèå êàïðîëàêòàìà - ïðîèçâîäñòâî ïîëèàìèäíûõ (íèëîíîâûõ) âîëîêîí è íèòåé (ïîëèàìèä 6). Êðîìå òîãî, êàïðîëàêòàì ïðèìåíÿåòñÿ â ïðîèçâîäñòâå èíæåíåðíûõ ïëàñòèêîâ, ïîëèàìèäíûõ ïëåíîê.  íåáîëüøèõ êîëè÷åñòâàõ êàïðîëàêòàì ìîæåò èñïîëüçîâàòüñÿ â îáðàçîâàíèè ïîëèóðåòàíà è ñèíòåçå ëèçèíà, æåñòêèå òåêñòèëüíûå ïîäêëàäêè, ïîêðûòèÿ äëÿ ïëåíîê, ñèíòåòè÷åñêèå êîæè, ïëàñòèôèêàòîðû, ðàñòâîðèòåëè äëÿ êðàñîê. Òåõíîëîãèÿ ïðîèçâîäñòâà êàïðîëàêòàìà  ïðîìûøëåííîñòè êàïðîëàêòàì ïîëó÷àþò èç áåíçîëà, ôåíîëà èëè òîëóîëà ïî ñõåìàì:   ïðîìûøëåííîñòè íàèáîëüøåå ðàñïðîñòðàíåíèå ïîëó÷èë ìåòîä ñèíòåçà êàïðîëàêòàìà èç áåíçîëà. Òåõíîëîãè÷åñêàÿ ñõåìà âêëþ÷àåò ãèäðèðîâàíèå áåíçîëà â öèêëîãåêñàí â ïðèñóòñòâèè Pt/Al2O3 èëè íèêåëü-õðîìîâîãî êàòàëèçàòîðà ïðè 250-350 è 130-220 °Ñ, ñîîòâåòñòâåííî. Æèäêîôàçíîå îêèñëåíèå öèêëîãåêñàíà â öèêëîãåêñàíîí îñóùåñòâëÿþò ïðè 140-160 °Ñ, 0,9-1,1 ÌÏà â ïðèñóòñòâèè íàôòåíàòà èëè ñòåàðàòà Ñî. Ïîëó÷àþùèéñÿ â ðåçóëüòàòå îêèñëåíèÿ öèêëîãåêñàíîë ïðåâðàùàþò â öèêëîãåêñàíîí ïóòåì äåãèäðèðîâàíèÿ íà öèíê-õðîìîâûõ (360-400 °Ñ), öèíê-æåëåçíûõ (400 °Ñ) èëè ìåäü-ìàãíèåâûõ (260-300 °Ñ) ñìåøàííûõ êàòàëèçàòîðàõ. Ïðåâðàùåíèå â îêñèì ïðîâîäÿò äåéñòâèåì èçáûòêà âîäíîãî ðàñòâîðà ñóëüôàòà ãèäðîêñèëàìèíà â ïðèñóòñòâèè ùåëî÷è èëè NH3 ïðè 0-100°Ñ. Çàâåðøàþùàÿ ñòàäèÿ ñèíòåçà êàïðîëàêòàìà. - îáðàáîòêà öèêëîãåêñàíîíîêñèìà îëåóìîì èëè êîíö. H2SO4 ïðè 60-120 °Ñ (ïåðåãðóïïèðîâêà Áåêìàíà). Âûõîä êàïðîëàêòàìà â ðàñ÷åòå íà áåíçîë 66-68%. Ïðè ôîòîõèìè÷åñêîì ìåòîäå ñèíòåçà êàïðîëàêòàìà èç áåíçîëà öèêëîãåêñàí ïîäâåðãàþò ôîòîõèìè÷åñêîìó íèòðîçèðîâàíèþ â îêñèì ïîä äåéñòâèåì NOCl ïðè ÓÔ îáëó÷åíèè. Ìåòîä ñèíòåçà êàïðîëàêòàìà èç ôåíîëà âêëþ÷àåò ãèäðèðîâàíèå ïîñëåäíåãî â öèêëîãåêñàíîë â ãàçîâîé ôàçå íàä Pd/Al2O3 ïðè 120-140 °Ñ, 1-1,5 ÌÏà, äåãèäðèðîâàíèå ïîëó÷åííîãî ïðîäóêòà â öèêëîãåêñàíîí è äàëüíåéøóþ îáðàáîòêó êàê â ìåòîäå ñèíòåçà èç áåíçîëà. Âûõîä 86-88%. Ìåòîä ñèíòåçà êàïðîëàêòàìà èç òîëóîëà âêëþ÷àåò: îêèñëåíèå òîëóîëà ïðè 165°Ñ â ïðèñóòñòâèè áåíçîàòà Ñî; ãèäðèðîâàíèå ïîëó÷àþùåéñÿ áåíçîéíîé êèñëîòû ïðè 170°Ñ, 1,4-1,5 ÌÏà â ïðèñóòñòâèè 5%-íîé âçâåñè Pd íà ìåëêîäèñïåðñíîì óãëå; íèòðîçèðîâàíèå öèêëîãåêñàíêàðáîíîâîé êèñëîòû ïîä äåéñòâèåì íèòðîçèëãèäðîñóëüôàòà (íèòðîçèëñåðíîé ê-òû) ïðè 75 80 °Ñ äî êàïðîëàêòàìà-ñûðöà. Íåêîòîðûå ñòàäèè ýòîé ñõåìû íåäîñòàòî÷íî ñåëåêòèâíû, ÷òî ïðèâîäèò ê íåîáõîäèìîñòè ñëîæíîé î÷èñòêè ïîëó÷àåìîãî êàïðîëàêòàìà. Âûõîä êàïðîëàêòàìà 71% â ðàñ÷åòå íà èñõîäíûé ïðîäóêò. Ïîëó÷åííûé ëþáûì èç ïåðå÷èñëåííûõ ìåòîäîâ êàïðîëàêòàì ïðåäâàðèòåëüíî î÷èùàþò ñ ïîìîùüþ èîíîîáìåííûõ ñìîë, NaClO è ÊÌnÎ4, à çàòåì ïåðåãîíÿþò. Ïîáî÷íûé ïðîäóêò ïðîèçâîäññòâà (NH4)2SO4 (2,5-5,2 ò íà 1 ò Ê.), êîòîðûé èñïîëüçóåòñÿ â ñåëüñêîì õîçÿéñòâå â êà÷åñòâå ìèíåðàëüíîãî óäîáðåíèÿ. Èçâåñòíû òàêæå ìåòîäû ïîëó÷åíèÿ êàïðîëàêòàìà èç íåàðîìàòè÷åñêîãî ñûðüÿ (ôóðôóðîëà, àöåòèëåíà, áóòàäèåíà, ýòèëåíîêñèäà), êîòîðûå íå íàøëè ïðîìûøëåííîãî ïðèìåíåíèÿ. Òâåðäûé êàïðîëàêòàì òðàíñïîðòèðóþò â áóìàæíûõ ïÿòèñëîéíûõ ìåøêàõ ñ ïîëèýòèëåíîâûì âêëàäûøåì, æèäêèé - â ñïåöèàëüíî îáîðóäîâàííûõ öèñòåðíàõ ñ îáîãðåâîì â àòìîñôåðå àçîòà (ñîäåðæàíèå êèñëîðîäà â àçîòå íå äîëæíî ïðåâûøàòü 0,0005%). Òåìïåðàòóðà âîñïëàìåíåíèÿ - 135°Ñ, ò. ñàìîâîñïëàìåíåíèÿ - 400 °Ñ, íèæíèé ïðåäåë âîñïëàìåíåíèÿ 123°Ñ; ËÄ50 450 ìã/ì3 (ìûøè, âäûõàíèå ïàðîâ), ÏÄÊ 10 ìã/ì3.  ìèðå êàïðîëàêòàì ïîëó÷àþò ïðåèìóùåñòâåííî èç áåíçîëà - 83,6%, èç ôåíîëà - 12%, èç òîëóîëà - 4,4%. Îçíàêîìèòüñÿ ñ ðîññèéñêèì ðûíêîì ïîëèàìèäîâ Âû ìîæåòå â èññëåäîâàíèè «Àíàëèç ðûíêà ïîëèàìèäîâ â Ðîññèè â 2008-2009 ãã.» www.polymery.ru |